招生考试
发布人:招生办发布日期:2025-03-04浏览次数:
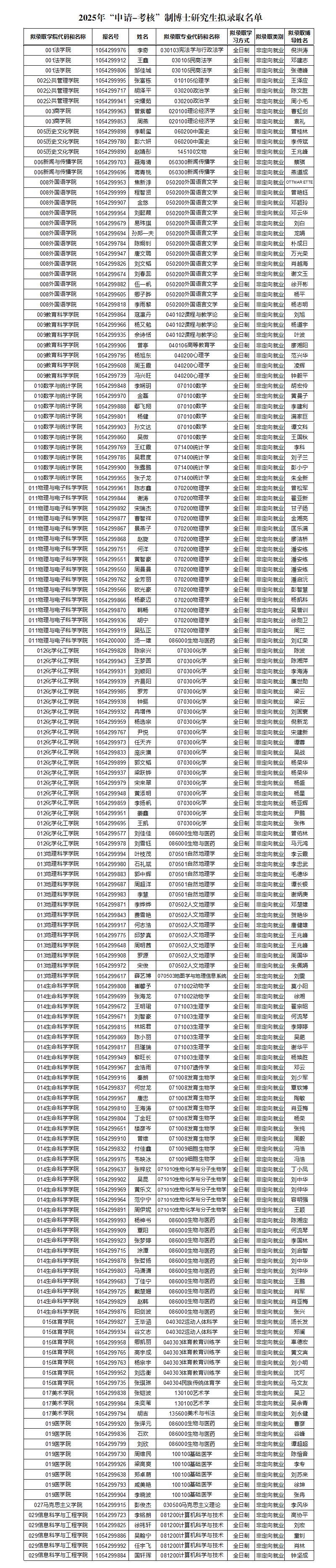
根据湖南师范大学《关于做好2025年“申请-考核”制博士研究生招生工作的通知》,现将我校2025年“申请-考核”制博士研究生拟录取名单进行网上公示,公示时间为10日。考生对拟录取公示名单如有疑问,请在公示期内向研究生院招生办公室反映(联系电话:0731-88872350)。
上一条:报考2025年湖南师范大学博士报名材料汇总
下一条:关于发放2024级博士研究生录取通知书的通知
【关闭】